Machine Learning 수강 정리 - Week 1

ML

AI

Coursera

Andrew Ng

Stanford

Cost Function

Gradient Descent

BGD

12/06/2020


Machine Learning

Aruthr Samuel(1959) - 컴퓨터가 체스를 스스로 학습하도록 함
Tom Michell(1998) - 특정 작업(T)에 대한 경험(E)과 성능측정(P)으로부터 컴퓨터 프로그램이 학습하는것

"A computer program is said to learn from experience E with respect to some class of tasks T and performance measure P, if its performance at tasks in T, as measured by P, improves with experience E."

Supervised / Unsupervised

  • Supervised Learning : 알고리즘에게 정답이 포함된 data set(Training Set)을 준 뒤, input과 output의 관계를 찾아 더 많은 정답을 예측해내는 학습방식
    • Regression problem : output의 후보군이 연속적일 때
    • Given a picture of a person, we have to predict their age on the basis of the given picture
    • Classification problem : input의 사례들이 불연속적(이산적)일 때
    • Given a patient with a tumor, we have to predict whether the tumor is malignant or benign.
  • Unsupervised Learning : 정답이 없는 데이터들을 clustering하여 structure를 규명하는것. 이때 예측의 결과에 기반한 피드백이 존재하지 않는다.
    • Clustering: Take a collection of 1,000,000 different genes, and find a way to automatically group these genes into groups that are somehow similar or related by different variables, such as lifespan, location, roles, and so on.
    • Non-clustering: The "Cocktail Party Algorithm", allows you to find structure in a chaotic environment. (i.e. identifying individual voices and music from a mesh of sounds at a cocktail party).

표기법

  • x : input 또는 feature(특성)
  • y : output 또는 "target" variable(예측값)
  • (x,y) : 하나의 Training example
  • m : Training example의 개수(즉, Training Set의 크기)
  • h : hypothesis, x에서 y까지 도달하는 과정(=지도)

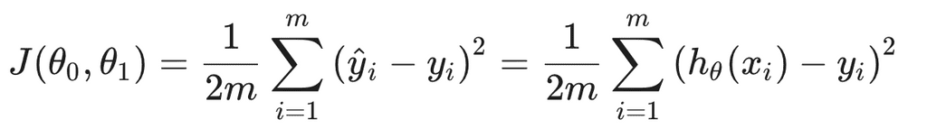
Cost Function

가설함수의 정확도를 판단할 수 있는 수단이 되는 함수이다.

Cost_Function

위의 식을 보면, 실제 input인 x를 가설함수에 적용시켰을때 나오는 값과, 실제의 output이었던 y를 비교한뒤 fancy하게 평균내는 것을 볼 수 있다.
이 차이를 최소화하는 h를 찾는것이 우리의 목적이며, Cost Function은 h의 정확도를 평가하기 위한 수단이다.

위에서 소개한 Cost Function J말고도 다른 대안 비용함수들이 많다. 위에서 소개한 것은 Squared error function 또는 Mean square function 이라고 한다. 이것은 Gradient Descent 계산을 위해 편의적으로 1/2(mean)처리하였다는 것을 의미한다.


Gradient Descent

outline

  • 임의의 파라미터 θ(들)로부터 시작(일반적으로 default는 모든 파라미터들을 0으로 두는것)
  • 기존의 파라미터들을 Cost Function J의 최소값에 도달할 때까지 갱신(하강)한다.
  • 최소값에 도달했다는 것은, 해당 파라미터가 주어진 dataset을 가장 잘 표현(비슷하게 묘사)하는 함수의 파라미터라는 것을 의미한다.

Description

Gradient_Descent

경사하강법은 위와 같이 임의의 지점(파라미터 θ)으로부터 시작해 갱신해나가므로, 위의 그림과 같이 지역적 최소값에 도달하게 된다.

단, 선형회귀에서의 비용함수는 convex functino(볼록함수)이 되므로 local optimum이 없고, global optimum만 존재한다.

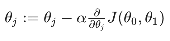
Algorithm

Gradient_Descent_Algorithm

이 때, αLearning Rate를, 그 뒤는 미분계수(해당 점에서의 tan값)를 의미한다.

α가 너무 작다면, Gradient Descent는 느리게 진행된다. 반대로 너무 크다면, minimum을 overshoot하여 오히려 minimum에서 점점 멀어지는 결과를 가져온다.

여러개의 파라미터를 갱신할 경우, 반드시 모든 파라미터를 한번에 몰아서 갱신해야한다. 중간중간 갱신해버리면, Cost Function J의 파라미터가 뒤섞이게 된다.

Batch Gradient Descent(BGD)

Gradient Descent의 매 단계를 batch단위가 아니라 전체 데이터셋을 대상으로 진행한다.
즉, 기울기를 구할 때 하나의 batch의 오차를 측정하지 않고, 모든 데이터셋의 오차를 계산하여 한번만 업데이트한다.

이 경우는 local minimum에 빠졌을 때 빠져나오기 힘드므로, 단 하나의 optima, global optima만 존재하는 linear regression에서 사용된다.


WRITTEN BY

알파카의 Always Awake Devlog

Seoul